[실무 프로젝트로 배우는...] 분류 모형
> ### 3.9 중고차 등급 분석을 위한 분류 모형
>
> #### 3.9.1 로지스틱 회귀분석
>
> Q3 = quantile(Audi$price, probs = c(0.75))
> Audi$price_G = ifelse(Audi$price > Q3, 1, 0)
> Sample = Audi[SL,]
> Test = Audi[-SL,]
>
> # 로지스틱 회귀분석의 접근 방식
>
> ggplot(Sample) +
+ geom_point(aes(x = mileage, y = price_G, col = as.factor(price_G))) +
+ geom_abline(mapping=aes(slope = 1/150000,intercept = 1),
+ linetype = "dashed", size = 1.2) +
+ scale_x_reverse(limits = c(150000,0)) +
+ guides(col = FALSE) +
+ theme_bw()
경고메시지(들):
1: `guides(<scale> = FALSE)` is deprecated. Please use `guides(<scale> = "none")` instead.
2: Removed 1 rows containing missing values (geom_point).

> # price_G 변수는 이산형 변수이므로 산점도가 일자 형태를 띈다.
>
> # 로지스틱 회귀분석 - glm()
>
> GLM = glm(price_G ~ mileage, data = Sample,
+ family = binomial(link = "logit"))
> Predicted = GLM$fitted.values
> Sample$GLM_Predicted = Predicted
>
> ggplot(Sample) +
+ geom_point(aes(x = mileage, y = price_G, col = as.factor(price_G))) +
+ geom_line(aes(x = mileage, y = GLM_Predicted), size = 1.2, linetype = 'dashed') +
+ geom_hline(yintercept = 0.5, linetype = 'dashed') +
+ scale_x_reverse(limits = c(150000,0)) +
+ guides(col = FALSE) +
+ theme_bw()
경고메시지(들):
1: `guides(<scale> = FALSE)` is deprecated. Please use `guides(<scale> = "none")` instead.
2: Removed 1 rows containing missing values (geom_point).
3: Removed 1 row(s) containing missing values (geom_path).

>
> summary(GLM)
Call:
glm(formula = price_G ~ mileage, family = binomial(link = "logit"),
data = Sample)
Deviance Residuals:
Min 1Q Median 3Q Max
-1.3389 -0.7433 -0.3330 -0.0038 3.6674
Coefficients:
Estimate Std. Error z value Pr(>|z|)
(Intercept) 3.723e-01 4.445e-02 8.376 <2e-16 ***
mileage -9.119e-05 2.935e-06 -31.071 <2e-16 ***
---
Signif. codes: 0 ‘***’ 0.001 ‘**’ 0.01 ‘*’ 0.05 ‘.’ 0.1 ‘ ’ 1
(Dispersion parameter for binomial family taken to be 1)
Null deviance: 8383.0 on 7466 degrees of freedom
Residual deviance: 6500.4 on 7465 degrees of freedom
AIC: 6504.4
Number of Fisher Scoring iterations: 6
> # 이탈도(Deviance) : 추정된 모형과 포화모형의 차이
> # 추정된 로지스틱 회귀선의 Deviance Residuals가 작을수록 적합이 잘 됐다고 해석한다.
> # Null deviance는 절편만 추가된 모형과 포화모형 간의 차이를 의미한다.
> # Residual deviance는 mileage 변수가 포함된 모형과 포화모형 간의 차이를 의미한다.
>
> ggplot(Sample) +
+ geom_point(aes(x = mileage,
+ y = predict(GLM, newdata = Sample)),
+ size = 1.2) +
+ scale_x_reverse(limits = c(150000,0)) +
+ ylab("log(p(x)/1-p(x))") +
+ guides(col = FALSE) +
+ theme_bw()
경고메시지(들):
1: `guides(<scale> = FALSE)` is deprecated. Please use `guides(<scale> = "none")` instead.
2: Removed 1 rows containing missing values (geom_point).

> # y축은 관심 그룹에 속할 승산에 대한 로그 값이다.
>
> # anova()를 활용하면 이탈도에 대해 더 자세한 분석이 가능하다.
> anova(GLM, test="Chisq")
Analysis of Deviance Table
Model: binomial, link: logit
Response: price_G
Terms added sequentially (first to last)
Df Deviance Resid. Df Resid. Dev Pr(>Chi)
NULL 7466 8383.0
mileage 1 1882.6 7465 6500.4 < 2.2e-16 ***
---
Signif. codes: 0 ‘***’ 0.001 ‘**’ 0.01 ‘*’ 0.05 ‘.’ 0.1 ‘ ’ 1
> # mileage 변수가 추가된 모형이 절편만 포함하는 모형 NULL보다 이탈도가 1882.6만큼 감소했다.
>
>
> #### 3.9.2 로지스틱 회귀분석의 평가 방법
>
> library(caret)
>
> log_odds = predict(GLM, newdata = Test)
> Predicted = predict(GLM, newdata = Test, type = 'response')
>
> Predicted_C = ifelse(Predicted > 0.5, 1, 0)
> confusionMatrix(factor(Predicted_C, levels = c(1,0)),
+ factor(Test$price_G, levels = c(1,0)))
Confusion Matrix and Statistics
Reference
Prediction 1 0
1 294 240
0 496 2171
Accuracy : 0.7701
95% CI : (0.7551, 0.7846)
No Information Rate : 0.7532
P-Value [Acc > NIR] : 0.01366
Kappa : 0.3059
Mcnemar's Test P-Value : < 2e-16
Sensitivity : 0.37215
Specificity : 0.90046
Pos Pred Value : 0.55056
Neg Pred Value : 0.81402
Prevalence : 0.24680
Detection Rate : 0.09185
Detection Prevalence : 0.16682
Balanced Accuracy : 0.63630
'Positive' Class : 1
> # 민감도가 37.22%라면 분류 모형 성능으로는 부족한 수치이다.
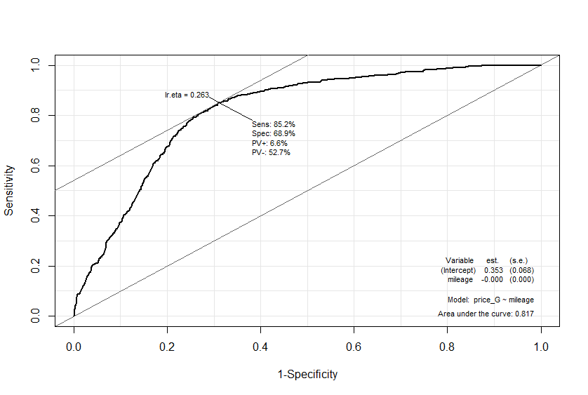
> # 앞서 기준점을 0.5로 분류했는데, 최적의 기준점을 찾을 필요가 있는데, 이 때 참고하는 정보가 ROC 커브이다.
>
> install.packages("Epi")
> library(Epi)
> ROC(form = price_G ~ mileage, data = Test, plot="ROC")
경고메시지(들):
glm.fit: fitted probabilities numerically 0 or 1 occurred

> # 일반적으로 AUC가 클수록 모형의 분류 성능이 좋다고 판단한다.
>
> Predicted_C = ifelse(Predicted < 0.263, 0, 1)
> confusionMatrix(factor(Predicted_C, levels = c(1,0)),
+ factor(Test$price_G, levels = c(1,0)))
Confusion Matrix and Statistics
Reference
Prediction 1 0
1 677 791
0 113 1620
Accuracy : 0.7176
95% CI : (0.7016, 0.7331)
No Information Rate : 0.7532
P-Value [Acc > NIR] : 1
Kappa : 0.4105
Mcnemar's Test P-Value : <2e-16
Sensitivity : 0.8570
Specificity : 0.6719
Pos Pred Value : 0.4612
Neg Pred Value : 0.9348
Prevalence : 0.2468
Detection Rate : 0.2115
Detection Prevalence : 0.4586
Balanced Accuracy : 0.7644
'Positive' Class : 1
>
>
> #### 3.9.3 다중 로지스틱 회귀분석
>
> GLM2 = glm(price_G ~ mileage + mpg + engineSize, data = Sample,
+ family = binomial(link = "logit"))
경고메시지(들):
glm.fit: 적합된 확률값들이 0 또는 1 입니다
> summary(GLM2)
Call:
glm(formula = price_G ~ mileage + mpg + engineSize, family = binomial(link = "logit"),
data = Sample)
Deviance Residuals:
Min 1Q Median 3Q Max
-3.1142 -0.2968 -0.0717 0.0000 5.6421
Coefficients:
Estimate Std. Error z value Pr(>|z|)
(Intercept) -1.129e+00 3.811e-01 -2.963 0.00305 **
mileage -1.291e-04 4.967e-06 -25.989 < 2e-16 ***
mpg -1.013e-01 6.217e-03 -16.300 < 2e-16 ***
engineSize 3.231e+00 1.244e-01 25.979 < 2e-16 ***
---
Signif. codes: 0 ‘***’ 0.001 ‘**’ 0.01 ‘*’ 0.05 ‘.’ 0.1 ‘ ’ 1
(Dispersion parameter for binomial family taken to be 1)
Null deviance: 8383.0 on 7466 degrees of freedom
Residual deviance: 3586.9 on 7463 degrees of freedom
AIC: 3594.9
Number of Fisher Scoring iterations: 7
> # Residual deviance는 3586.9로 mileage 하나로만 예측자로 활용했을 때보다 크게 낮아진 것을 확인할 수 있다.
>
> Predicted2 = predict(GLM2, newdata = Test, type = 'response')
> Predicted_C2 = ifelse(Predicted2 > 0.5, 1, 0)
> confusionMatrix(factor(Predicted_C2, levels = c(1,0)),
+ factor(Test$price_G, levels = c(1,0)))
Confusion Matrix and Statistics
Reference
Prediction 1 0
1 608 155
0 182 2256
Accuracy : 0.8947
95% CI : (0.8836, 0.9051)
No Information Rate : 0.7532
P-Value [Acc > NIR] : <2e-16
Kappa : 0.7135
Mcnemar's Test P-Value : 0.1567
Sensitivity : 0.7696
Specificity : 0.9357
Pos Pred Value : 0.7969
Neg Pred Value : 0.9253
Prevalence : 0.2468
Detection Rate : 0.1899
Detection Prevalence : 0.2384
Balanced Accuracy : 0.8527
'Positive' Class : 1
> # mileage 하나만 활용했을 때보다 성능이 많이 좋아진 것을 확인할 수 있다.
출처 : 실무 프로젝트로 배우는 데이터 분석 with R